JENNA RODRIGUEZ
Interdisciplinary Artist / Book Artist / Printmaker / Educator
Blog
New work
Old Work
Invitations
Broadsides
Student Collaborative Projects
Student Samples
High School Lessons & Samples
Elementary Lessons & Samples
Dec 08 2009
Leave a comment
2550 × 3300
in
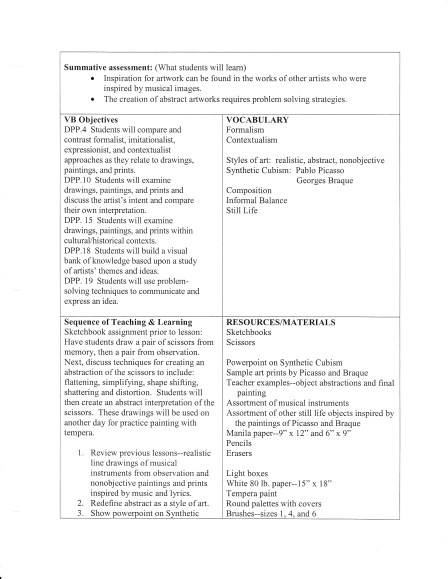
High School Lessons
Cubist still life painting2
Like
Loading...
Leave a comment
Cancel reply
Δ
Privacy & Cookies: This site uses cookies. By continuing to use this website, you agree to their use.
To find out more, including how to control cookies, see here:
Cookie Policy
Subscribe
Subscribed
JENNA RODRIGUEZ
Join 63 other subscribers
Sign me up
Already have a WordPress.com account?
Log in now.
JENNA RODRIGUEZ
Subscribe
Subscribed
Sign up
Log in
Copy shortlink
Report this content
View post in Reader
Manage subscriptions
Collapse this bar
%d